
1. YK系列圓振篩
圓振篩
圓振篩,是一種單層或多層數、高效新型振動篩。圓振篩廣泛應用于礦山、煤炭、冶金、建材、化工等行業的產品分級,主要針對煤碳、碎石、鵝卵石等比重較大型物料的篩分。
工作原理
YK型圓振動篩是單質量彈性系統,電動機經輪胎聯軸節使振動器偏心塊產生高速旋轉。運轉的偏心塊產生很大的離心力激發篩箱產生一定振幅的圓運動,篩上物料在傾斜的篩面上受到篩箱傳給的沖量而做連續的拋擲運動,物料在拋起時被分層,在與篩面相遇的過程中使小于篩孔的顆粒透篩,從而實現分級。
性能特點:
1. 采用輪胎聯軸器,柔性連接,運轉平穩。
2. 篩子橫梁與篩箱采用高強度螺栓聯接,結構簡單,維修方便快捷。
3. 結構先進、采用塊偏心作為激振力,激振力強、電耗低、噪音小。
4. 采用小振幅,高頻率,大傾角結構,使該機篩分效率高、處理能力大
5. 構造簡單、拆換篩面方便,零部件通用性強,維修方便。
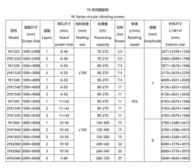
YK系列圓振篩


YK系列圓振篩


2. QSZW高頻電磁振網篩
用途
高頻電磁振網篩廣泛應用于冶金選礦、煤炭洗選、建材、化工、食品等行業。主要應用于選礦廠磨礦分級流程中的分級作業。
工作原理
高頻電磁振網篩由篩箱、篩網、激振器、振動系統、支承機構組成。
激振器固定于篩箱上,激振器驅動振動系統直接激振篩面,使篩面處于振動狀態,達到篩分的目的。篩面由三層不同的柔性篩網組成;底層為鋼絲繩芯聚氨酯托網與激振裝置直接接觸;托網上面張緊鋪設由兩層不銹鋼絲編織網粘接在一起的復合網,復合網上層與物料接觸,上層網根據篩分工藝要求確定網孔尺寸。
特點
1、高頻電磁振網篩功耗小。篩機振動系統直接激振篩面作高頻振動,且振動系統在近共振狀態工作,可以以較小的驅動力達到工作所需的振動參數。而篩箱與其它種類的篩機不同,不參與振動,降低了整機的功耗。
2、由于篩箱不動,整機經減振支承,動載荷極小,無須特制基礎,可隨意擺放安裝。
3、電磁振動系統主要采用優質橡膠件連結,長期運轉工作可靠;
4、篩面振動頻率高達50Hz,振幅1~2毫米,振動強度達8~10倍重力加速度,是一般振動篩振動強度的2~3倍。
5、篩面自清理能力強,篩分效率高,處理能力大。非常適用于細粒粉體物料的篩分、脫水。
6、復合網上層與物料接觸,上層網根據篩分工藝要求確定網孔尺寸,篩網開孔率高,使用壽命長。
7、篩網兩端裝有掛鉤,便于張緊安裝。
8、入料緩沖篩板保證平緩均勻布料,減小物料對工作網(復合網)的沖擊,延長使用壽命。
9、入料粒度大,上限為15mm,分級粒度0.043~3mm。
10、篩機安裝角度隨時可方便調節,以適應不同的物料性質及不同篩分作業。


3. QSGS高頻振動細篩
高頻振動細篩
高頻振動細篩簡稱高頻篩,廣泛應用于黑色礦山、有色礦山、煤礦、化工、建材等行業。適合于細粒煤的分級脫水、煤泥回收、選礦廠分級等作業,如磁鐵礦礦山二段磨礦前及二段磨礦產品的預先分級和檢查分級,和二段磨礦作業構成閉路。
工作原理
高頻篩由激振器、礦漿分配器、篩箱、機架、彈簧和篩網等部件組成。高頻篩通過激振器帶動篩箱產生振動,篩箱內的篩網隨之產生振動,對礦漿分配器輸入的礦漿進行分離,其中顆粒小的物料和水透過篩網成為篩下產物,顆粒較大的隨篩網排出篩箱。
高頻篩采用了高頻率,一方面,破壞了礦漿表面的張力,另一方面,細粒物料在篩面上的高速振蕩,加速了大密度(比重)有用礦物析離作用,增加了小于分離粒度物料與篩孔接觸的概率。從而造成了較好的分離條件,使小于分離粒度的物料,特別是比重大的物粒和礦漿一起透過篩孔成為篩下產物。
特點
1采用可調控振動激振器,振幅大小可調,頻率高。
2選用聚胺酯耐磨篩網,使用壽命長。
3設計先進,設備運轉平穩可靠,維修更換方便,重量輕。
4篩分效率高,處理量大。










手機企騰網工廠優選|



